您当前的位置:备件网首页 > 技术干货 > 正文

技术 | 陶瓷球研磨体降低水泥磨电耗的机理分析及应用

来源:《华润水泥(南宁)公司》 发布日期:2020/12/25 编辑:张翀
核心提示:陶瓷球研磨体降低水泥磨电耗的机理分析及应用

前言


陶瓷球作为水泥粉磨的研磨体并不是一种新生事物,白水泥行业早期使用的铸石球亦即低密度研磨体,和后来使用的一种人造硅石球在白水泥管磨机上的应用更可以说是陶瓷球在水泥磨应用的鼻祖。陶瓷球作为水泥粉磨系统的一种新型耐磨材料,其具有节能和降低出磨水泥温度的显著优势,并已呈现取代高铬球之势。但是由于陶瓷球厂家和水泥生产厂对陶瓷球沟通、交流不够,陶瓷球研磨体的应用存在以下问题:(1)陶瓷球厂家产品品质参差不齐、破碎率高,影响粉磨效果;(2)陶瓷球生产企业夸大宣传,实际不乏陶瓷球试用失败案例,但大多数是成功的。为此有必要从理论和实践上对陶瓷研磨体节电机理进行分析探讨。


一、高铬球与陶瓷球性能对比


XX公司主推方向的陶瓷球的成分及与高铬球的性能对比见表1,2


表1 XX公司陶瓷球理化参数


表2 高铬球与陶瓷球的物理性能对比


表1表2可知,陶瓷球产品有如下特点:


(1)硬度大。其洛氏硬度为HRA80~90,仅次于金刚石,远远超过耐磨钢和不锈钢的耐磨性能。


(2)耐磨性能极好。耐磨性相当于锰钢的266倍,高铬铸铁的171.5倍。在同等工况下,可至少延长设备使用寿命10倍以上。


(3)重量轻。其密度为3.6~3.9g/cm3,仅为钢铁的一半,可大大减轻设备负荷。


二、陶瓷球可以推广的先决条件


2.1 粉磨工艺是关键


传统不带辊压机的球磨机或带辊压机的预粉磨系统进入磨机的颗粒范围较宽,球磨机入磨粒度0~25mm;带辊压机的联合粉磨系统入磨粒度0~3mm。磨机的一仓或二仓用研磨体的单个重量大,提供一定的冲击、破碎能力,故用密度大、直径大钢球做研磨体比较合适。


随着辊压机系统采用V型选粉机以后,靠风选的半成品粒度在1mm以下,经过一仓研磨/破碎,进入二仓的物料粒度≤0.5mm,此时研磨体可以用低密度陶瓷球来代替高铬球作为研磨体研磨物料。所以说带辊压机+V型选粉机+磨机系统是使用陶瓷球的先决条件。


2.2 陶瓷球与高铬球以传统工艺计算方面对比


某公司ф4.2m×13m磨机为例,其二仓采用陶瓷球,装载量为原来钢球质量的一半左右。


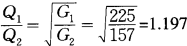
(1)磨机功率前后对比。装载量:试用前G₁=67+158=225t;试用后(二仓陶瓷球)G₂=73+84=157t。据计算公式:推算:同一台磨机其他参数固定,功率与转载量成0.8次方的正比关系。。可知使用陶瓷球理论上功率降低比例为25%。


(2)磨机台时产量前后对比。据计算公式:推算,同一台磨机其他参数固定时,其台时产量与装载量成开平方的正比关系。可知使用陶瓷球理论上产量下降为16.46%,假若使用高铬球时产量是Q₁=145t/h,那么使用陶瓷球后磨机产量Q₂=121t/h,降低16.55%。


(3)工序电耗推算(以磨机的电耗为主)。假设磨机的功率为额定功率3200kW,使用陶瓷球前Q₁=145t/h时磨主机单位电耗为3200/145=22.1kWh/t,改用陶瓷球后功率降低25%为:3200-3200×25%=2400kW,Q₂=121t/h时磨主机单位电耗为2400/121=19.84kWh/t,假若台时不降低则为2400/145=16.55kWh/t。


2.3 使用陶瓷球不降产的措施


同规格的磨机使用陶瓷球与使用高铬球,采用相同的研磨体填充率,入磨物料配比及入磨粒度(细度或表面积)一样时,陶瓷球作研磨体的磨机台时产量必然降低,而不降低产量可采取措施不外乎以下几点:


(1)陶瓷球的密度轻,堆积密度小,可采用适当增加二仓的研磨体重量,加大研磨体的填充率(由高铬球的30%,提高到39%~45%左右)来弥补它的不足之处。


(2)改变磨机系统流程,由原来的开流磨生产变成闭路磨生产,闭路磨提产20%~30%来弥补原来开流磨的产量降低。


(3)采用合理的磨内结构,采用新型的控制流双层隔仓板,优化活化环的结构和排列,延长磨机内部的停留时间。


(4)优化陶瓷球的级配,摸索出最优的级配和单位重量的研磨体表面积。


(5)提高入磨物料的表面积(严格控制入磨物料的粒度),加强一仓的破碎、研磨能力,为适应二仓使用陶瓷球的破碎能力创造条件,亦即研磨效果前移,弥补研磨能力的不足。


三、试用陶瓷球作研磨体案例


该公司以#4线ф4.2m×12.5m开流磨作实验,2016年6月27日二仓采用陶瓷球研磨体进行调试。2016年6月27日~7月9日,根据使用情况摸索、调整级配,二仓装载量为93%(总量为86t),辊压机运转频繁”冲料”,挤压效果差,台时产量下降幅度较大,电耗下降不明显,见表3


表3 陶瓷球使用调试与使用前系统运行对比


根据以上情况,7月10日~7月26日对系统作出以下调整:


(1)一仓(高铬球),在入料舌板上增加挡板,避免物料直接冲远进入隔仓板;调整中间隔仓板中间过料装置,降低一仓物料流速(调至最小),延长一仓物料停留时间;增加一仓高铬球装载量,提高破碎、研磨能力。


(2)二仓(陶瓷球),补加研磨体到100%(86t)后,填充率达到39%;优化活化环,封堵活化环下部,减少通料面积,延长物料粉磨时间。经过以上措施,磨机台时产量有所提高,工序电耗有所下降。后于8月13日再次优化调整辊压机,改善V型选粉机的选粉效率,提高入磨物料的表面积在210m2/kg左右,以适应陶瓷球的研磨功能要求。经过8月到10月运行,系统稳定运行结果见表3


表3可知,试用陶瓷球后,P·O42.5R水泥工序电耗下降了4.10kWh/t,下降了11.64%;P·O42.5水泥工序电耗下降了4.49kWh/t,下降了14.40%。P·O42.5台产提高了2.53t/11,提高了1.58%;P·O42.5R台产降低了6.09t/h,下降了4.28%。


四、结语


陶瓷球和高铬球作为研磨体的机理相差较大,改变思维方式,为陶瓷球应用创造必要的条件,才能发挥其节能效果。但因陶瓷球对物料的适应能力差,建议严格控制入磨物料的水分,采用易磨性较好的物料,钢渣及矿渣少用或禁用。根据陶瓷球使用,若高铬球减少二仓研磨体的装载量及减小研磨体规格,增加单位研磨体的比表面积,找出产量与电耗的最佳点,不追求高产量,也能达到降低电耗的目的。



作者:班红建

来源:《华润水泥(南宁)公司》

中国水泥备件网微信公众号(关注查询更多资讯)

(本文来源网络,若涉及版权问题,请作者来电或来函联系!)

相关推荐 RECOMMENDATION